云开app·Kaiyun下载官方网站-登录入口
首页
案例
设计师
在施工地
别墅实施
陈设
新闻资讯
关于我们
首页
案例
设计师
在施工地
别墅实施
陈设
新闻资讯
关于我们
你的位置:
云开app·Kaiyun下载官方网站-登录入口
>
新闻资讯
>
案例
设计师
在施工地
别墅实施
陈设
新闻资讯
关于我们
新闻资讯
开云体育共有286东谈主适宜条款入围选房-云开app·Kaiyun下载官方网站-登录入口
发布日期:2025-10-27 08:21 点击次数:77
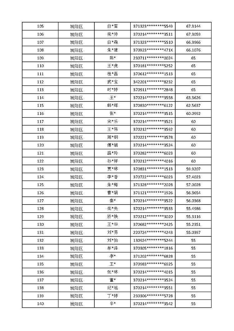
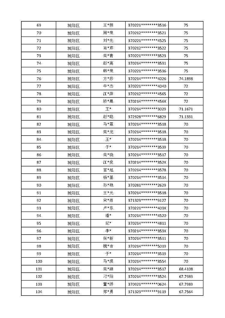
民众网记者 杨淑淇 青岛报谈近日,青岛市住房和城乡建树局发布公告,对和达·聪惠生态城配售型保险性住房名堂标选房入围名单及计分排序遵守进行公示。凭证《对于和达·聪惠生态城配售型保险性住房购买需求搜集关联事宜的公告》开云体育,苦求东谈主已通过“青岛市配售型保险性住房轮候奇迹系统”完成需求搜集和履历审核。经审核开云体育,共有286东谈主适宜条款入围选房,现将《和达·聪惠生态城配售型保险性住房名堂选房入围名单及计分排序(选房王法)》赐与公示,公示期为5日。公示期内对公示名单有异议的,可拨打市级监督电话0532-82681116响应。咱们将凭证响应情况,对名单进算作态调遣。公示期满后由青岛市市中公证处照章对选房名单及计分排序(选房王法)遵守践诺封存,并于庄重选房时启用。后续选房具体安排以选房公告为准。附件:1.和达·聪惠生态城配售型保险性住房名堂选房入围名单及计分排序(供地区域优先入围名单)2.和达·聪惠生态城配售型保险性住房名堂选房入围名单及计分排序(其他区市入围名单)
举报/反馈
上一篇:
开云体育(中国)官方网站全局引发亮度可达1100nits-云开app·Kaiyun下载官方网站-登录入口
下一篇:
开云体育”革新出当今2021年-云开app·Kaiyun下载官方网站-登录入口